Minnesota Administrative Rules
7050.0219 HUMAN HEALTH-BASED CRITERIA AND STANDARDS.
Subpart 1.
Objective.
Human health-based criteria and standards protect humans from potential adverse effects of eating fish and edible aquatic organisms and incidental ingestion of water while recreating in class 2 waters and from the consumption of drinking water from class 1 surface waters (includes class 2A and 2Bd waters). Human health-based criteria and standards must be determined using the methods in this part.
Subp. 2.
Applicability of methods.
Human health-based chronic criteria (CC) or chronic standards (CS) must be evaluated based on the pollutant's toxicological profile: noncarcinogen or nonlinear carcinogen (NLC), developmental susceptibility, and linear carcinogen (C).
A.
Algorithms for these toxicological profiles by class 2 subclasses are described in subparts 13 to 15. Other scientifically defensible algorithms may be applied by the commissioner on a chemical-specific basis for evaluating developmental susceptibility to toxic pollutants in fish tissue based on the consideration listed in subparts 3 to 5.
Subp. 3.
Available and reliable scientific data.
The data and information used to develop a site-specific CC or CS must be approved by the commissioner. The commissioner must consider measures of availability and reliability of the data and information.
Subp. 4.
Toxicological values.
The RfD used to calculate criteria for noncarcinogenic and nonlinear carcinogenic chemicals (NLC) and the CSF and AFlifetimeor CSF and ADAF used to calculate CC or CS for linear carcinogenic (C) chemicals are obtained from the MDH or developed according to parts 4717.7820, subparts 5 and 21, and 7050.0218, subpart 3.
Subp. 5.
Exposure values.
Drinking water intake rates are obtained from the MDH. RSC uses a default value of 0.2 for most pollutants, unless:
A.
there are no significant known or potential sources other than those addressed for the designated use, then 0.5 must be used; or
B.
sufficient exposure data are available to support an alternative pollutant-specific value between 0.2 and 0.8.
Subp. 6.
Bioaccumulation factors.
This subpart describes the process and data for deriving bioaccumulation factors (BAF) used in the calculation of the human health-based chronic criteria (CC) or chronic standards (CS).
A.
Information used for defining BAF must be consistent with the pollutant form used to derive the RfD or CSF. BAF development must also consider other forms that bioaccumulate in fish tissue. The preferred bioaccumulation data are available and reliable field and laboratory studies.
B.
A general description of the steps and data used to determine final state or site BAF are listed in subitems (1) to (6) and described in detail in subparts 7 to 12.
(1)
Categorize the pollutant based on certain properties into one of three broadly defined chemical categories: nonionic organic, ionic organic, or inorganic and organometallic chemicals as described in subpart 7.
(2)
Define the methods for developing baseline BAF as described in subpart 8. A baseline BAF is the expression of the BAF based on the bioavailable or freely dissolved fraction of a pollutant in the ambient water and normalized concentration of the pollutant within the organism.
(3)
Determine the relevant procedure (1 to 6) for identifying the acceptable baseline BAF methods (maximum of four) and their hierarchy for developing individual or aquatic species-specific baseline BAF as described in subpart 9.
(4)
Calculate species mean baseline BAF from acceptable individual baseline BAF as described in subpart 10.
(6)
Develop final state or site BAF for TL3 and TL4 based on default parameters by class 2 subclass or site-specific data as described in subpart 12.
Subp. 7.
Chemical categorization.
For BAF purposes, organic chemicals that have no or negligible ionization at the pH range of ambient surface waters are categorized as nonionic organic chemicals; organic chemicals that undergo ionization at the pH range of ambient surface waters are categorized as ionic organic chemicals and further delineated for BAF development based on subpart 9, item C; organometallic chemicals and other chemicals or elements are categorized as organometallic and inorganic chemicals.
Subp. 8.
Methods for baseline BAF.
The four methods for developing baseline BAF in items A to D are listed in a hierarchy from most preferred to least preferred, except as noted in subpart 9: use of field-measured BAF studies (field BAF); use of field-measured BSAF studies (field BSAF); use of laboratory-measured BCF studies with food chain multipliers (lab BCF*FCM); and use of octanol-water partition coefficients with food chain multipliers (Kow*FCM). Where relevant, differences in the baseline BAF methods are described by chemical categorization.
A.
Method 1: Field BAF. The field-measured BAF for a nonionic organic chemical is calculated based on the total concentration of the chemical in the appropriate tissue of the aquatic organism (on a wet tissue basis) and the total concentration of chemical in ambient surface water at the site of sampling (BAFtT).
| measured BAFtT = Ct/Cw | |
| where: | BAFtT = field-measured BAF based on total concentration in tissue and water (L/kg) |
| Ct = total concentration of the chemical in the specified wet tissue (µg/kg) | |
| Cw = total concentration of the chemical in water (µg/L) |
The measured BAFtT is converted to a baseline BAF or BAF1fd by the following equation:
| where: | baseline BAF1fd = BAF expressed on a freely dissolved and lipid-normalized basis (L/kg) |
| f1 = fraction of the tissue that is lipid | |
| ffd = fraction of the total chemical that is freely dissolved in ambient surface water |
The freely dissolved fraction or ffd is the portion of the nonionic organic chemical that is not bound to particulate organic carbon or dissolved organic carbon and is calculated:
| 1 | |||
| ffd | = | _ | |
| [1 + (POC x KOW) + (DOC x 0.08 x KOW)] |
| where: | POC = concentration of particulate organic carbon (kg/L) |
| DOC = concentration of dissolved organic carbon (kg/L) | |
| KOW = n-octanol water partition coefficient for the chemical |
POC and DOC concentrations are obtained from the original study from which the field-measured BAF is determined. If POC and DOC concentrations are not reported in the BAF study, reliable estimates of POC and DOC are obtained from other studies at closely related sites within the same water body. If no study data are available, the USEPA national default DOC and POC values are used, as they are representative of average ambient surface water conditions. The USEPA national default values are DOC of 2.9 mg/L and POC of 0.5 mg/L, converted to kg/L by dividing by 1,000,000.
For the field-measured BAF for a chemical classified as inorganic and organometallic, the field BAF is equal to the baseline BAF and is not expressed on a lipid or freely dissolved fraction basis. Normalization on other characteristics must be supported by chemical-specific data.
B.
Method 2: Field BSAF. For nonionic organic chemicals, the field-measured BSAF is determined by relating lipid-normalized concentration of the chemical in the appropriate tissue of the aquatic organism to organic carbon-normalized concentrations of the chemical in surface sediment.
| Cl | ||
| BSAF | = | _ |
| Csoc |
| where: | BSAF = biota-sediment accumulation factor for the chemical (kg of sediment organic carbon/kg of lipid) |
| C1 = lipid-normalized concentration of the chemical in the specified wet tissue (µg/g lipid), calculated as: |
| Ct | ||
| Cl | = | _ |
| fl |
| where: | f1 = fraction lipid content in the tissue |
| Other variables as defined under item A | |
| Csoc = organic-carbon normalized concentration of a chemical in surface sediment samples (µg/g sediment organic carbon), calculated as: |
| Cs | ||
| Csoc | = | _ |
| foc |
| where: | Cs = concentration of chemical in dry sediment (µg/g sediment) |
| foc = fraction organic carbon in dry sediment |
The measured BSAF is converted to a baseline BAF or BAF1fd by the following equation:
| (Πsocw)r (Di/r) (KOW)i | |||
| (baseline BAF1fd)i | = | (BSAF)i | _ |
| (Kow)r |
| where: | (baseline BAF1fd)i = BAF expressed on a freely dissolved and lipid-normalized basis for chemical of interest "i" or the chemical that is the basis of the criteria (L/kg) |
| BSAFi = measured BSAF for the chemical "i" (kg organic carbon/kg of lipid) | |
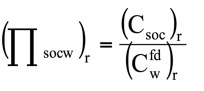
| (Πsocw)r = sediment to water partition coefficient or sediment organic carbon to freely dissolved concentration ratio of the reference chemical "r." Reference chemicals with (Πsocw)r/(Kow) similar to that of the chemical of interest are preferred for this method (L/kg sediment organic carbon) |
| where: | (Csoc)r = concentration of the reference chemical "r" in dry sediment normalized to sediment organic carbon (µg/kg sediment organic carbon) |
| (Cfdw)r = concentration of the reference chemical "r" freely dissolved in water (µg/L) | |
| (Di/r) = ratio between Πsocw/Kow for chemicals "i" and reference chemical "r"; a ratio equal to or close to one is preferred | |
| (Kow)i = octanol-water partition coefficient for the chemical "i" | |
| (Kow)r = octanol-water partition coefficient for the reference chemical "r" | |
| Other variables as defined under item A |
C.
Method 3: Lab BCF*FCM. The laboratory-measured BCF for nonionic organic chemicals is calculated based on the total concentration of the chemical in the appropriate tissue of the aquatic organism (on a wet tissue basis) and the total concentration of chemical in the study water (BCFtT).
| Ct | ||
| measured BCFtT | = | _ |
| Cw |
| where: | Cw = total concentration of chemical in the laboratory test water (µg/L) |
| Other variables as defined under item A | |
| Baseline BAF1fd equation: |
| where: | ffd = fraction of the total chemical in the test water that is freely dissolved, where POC and DOC or reasonable estimates based on total organic carbon (TOC) values measured in the test water are used, unless not available, then the following defaults are used based on typical lab water characteristics: DOC of 2.5 mg/L and POC at 0 mg/L, converted to kg/L by dividing by 1,000,000 |
| FCM = food chain multiplier | |
| Other variables as defined under item A |
For ionic organic, inorganic, and organometallic chemicals, based on available data, the laboratory BCF is equal to the baseline BAF and is not expressed on a lipid or freely dissolved fraction basis. Normalization on other characteristics must be supported by chemical-specific data. FCM must come from field BAF studies.
D.
Method 4: Kow*FCM. In this method, Kow is assumed to be equal to the baseline BAF1fd for certain nonionic organic chemicals described in the procedures.
| baseline BAF1fd = (FCM) x (Kow) |
| where: | Variables as defined under items A and C |
Subp. 9.
Hierarchy of acceptable baseline BAF methods.
Determine the hierarchy of acceptable baseline BAF methods available under subpart 8 for appropriate use based on the chemical categorization of the pollutant and other relevant properties as described under Procedures 1 to 6.
A.
Procedures 1 to 6 are used for defining the hierarchy and use of the four baseline BAF methods based on chemical categorization and a chemical's ionization state in ambient surface waters, hydrophobicity, biomagnification, and metabolism in aquatic organisms, primarily freshwater fish species. Table 1 provides the basic information for identifying the acceptable procedures and hierarchy for baseline BAF methods as described under items B to D:
| Table 1. | |||||
| Chemical Categorization | |||||
| Nonionic Organic and Ionic (negligible ionization) Organic Chemicals | Inorganic, Organometallic, and Ionic Chemicals | ||||
| Hydrophobicity | Biomagnification Factor (BMF) | ||||
| log Kow ≥ 4 | log Kow < 4 | BMF ≤ 1,000 | BMF > 1,000 | ||
| Metabolism in Aquatic Organisms (Fish) | |||||
| Low or Unknown | High | Low or Unknown | High | ||
| Procedures: | |||||
| Procedure 1 | Procedure 2 | Procedure 3 | Procedure 4 | Procedure 5 | Procedure 6 |
| 1) Field BAF 2) Field BSAF 3) Lab BCF*FCM 4) Kow*FCM | 1) Field BAF 2) Field BSAF 3) Lab BCF | 1) Field BAF or Lab BCF 2) Kow | Field BAF or Lab BCF | Field BAF or Lab BCF | 1) Field BAF 2) Lab BCF*FCM |
B.
For nonionic (neutral) organic chemicals, defined as chemicals that have no or negligible ionization in ambient surface water, Procedures 1 to 4 describe the hierarchy of acceptable baseline BAF methods to use.
(1)
Procedure 1 applies to nonionic organic chemicals with moderate to high hydrophobicity defined as log Kow greater than or equal to (≥) 4 and either a low level of documented metabolism in aquatic organisms or lack of sufficient data to characterize metabolism. All four baseline BAF methods are available for use based on the stated hierarchy in table 1 and availability of acceptable data.
(2)
Procedure 2 applies to nonionic organic chemicals with moderate to high hydrophobicity defined as log Kow ≥ 4 and a high level of documented metabolism in aquatic organisms. The acceptable methods are field BAF, BSAF, and lab BCF*FCM, where FCM is equal to one.
(3)
Procedure 3 applies to nonionic organic chemicals with low hydrophobicity defined as log Kow less than (<) 4 and either a low level of documented metabolism in aquatic organisms or lack of sufficient data to characterize metabolism. The acceptable methods are field BAF or lab BCF*FCM, with equal preference given, and Kow*FCM, where FCM is equal to one in both methods.
(4)
Procedure 4 applies to nonionic organic chemicals with low hydrophobicity defined as log Kow < 4 and high levels of documented metabolism in aquatic organisms. Equal preference is given to both acceptable methods: field BAF or lab BCF*FCM, where FCM is equal to one.
C.
For ionic organic chemicals (defined as chemicals that can readily accept or donate protons) the procedures that define the available hierarchy and appropriate baseline BAF methods depend on further characteristics of the chemical. The main characteristics relate to exhibiting primarily nonionic (neutral) characteristics (ionization is negligible) or ionic characteristic in average surface water pH ranges based on its acid dissociation constant (Ka) expressed as the negative base 10 log (pKa) and functional group or groups:
(1)
When ionization is negligible, the chemical is categorized as a nonionic organic chemical and baseline BAF procedures are applied based on hydrophobicity and metabolism characteristics described for Procedures 1 to 4 under item B, subitems (1) to (4).
(2)
In all other cases, the chemical is categorized with inorganic and organometallic chemicals and addressed with Procedure 5 or 6 under item D, subitem (1) or (2).
Available chemical-specific data that supports more defensible baseline BAF methods must be used in place of these default assignments.
D.
Inorganic and organometallic chemicals are defined as inorganic minerals, other inorganic chemicals, and elements: metals and metalloids and organometallic chemicals, and Procedures 5 and 6 define the use of acceptable baseline BAF methods. Procedures 5 and 6 are distinguished by the determination of whether the chemical demonstrates biomagnifications through field BAF or laboratory BCF studies, with BAF or BMF greater than 1,000 being the cut-off for this purpose. BMF is calculated using chemical concentrations in the tissue of aquatic organisms at two successive trophic levels as:
| BMF(TL, n) = Ct (TL, n) / Ct (TL, n-1) |
| where: | Ct (TL, n) = total concentration of relevant chemical form or forms in appropriate tissue of predator organism at trophic level "n" (may be either wet weight or dry weight concentration so long as both the predator and prey concentrations are expressed in the same manner) (µg/kg) |
| Ct (TL, n-1) = total concentration of relevant chemical form or forms in appropriate tissue of prey organism at the next lower trophic level from the predator (may be either wet weight or dry weight concentration so long as both the predator and prey concentrations are expressed in the same manner) (µg/kg) |
(1)
Procedure 5 applies when geometric mean BAF or BMF is less than or equal to 1,000 when comparing successive trophic level ratios up through trophic level 4. Equal preference is given to field BAF or lab BCF*FCM, where FCM is equal to one. For this procedure, field BAF or lab BCF is applied as the baseline BAF.
| measured BAFtT = Ct/Cw | or | BCFtT = Ct/Cw | are applied as the baseline BAF. | |
| where: | Variables as defined under subpart 8 |
(2)
Procedure 6 applies when geometric mean BAF or BMF is greater than 1,000 when comparing successive trophic level ratios up through trophic level 4. The acceptable methods are field BAF or lab BCF*FCM, with preference for field BAF. For this procedure, field BAF or lab BCF is applied as the baseline BAF.
| measured BAFtT = Ct/Cw | or | BCFtT = Ct/Cw | are applied as the baseline BAF. | |
| where: | Variables as defined under subpart 8 |
Subp. 10.
Species mean baseline BAF.
Calculate species and mean baseline BAF from acceptable individual baseline BAF.
A.
For each appropriate baseline BAF method, calculate species-mean baseline BAF using the geometric mean.
B.
Any baseline BAF with large differences between species (greater than ten percent) needs additional justification for use in a species-mean baseline BAF.
C.
Evaluate data uncertainties for consideration in method hierarchy application for calculating trophic level baseline BAF.
Subp. 11.
Final baseline BAF by trophic level.
Determine the final baseline BAF by trophic level (TL):
A.
Calculate geometric mean baseline BAF for TL3 and TL4 using available species-means for each baseline BAF method. For class 2A water, preference is given for Salmonidae data and developed as a single representative TL4 baseline BAF.
B.
Combine species-means for methods that have equal preference in procedural hierarchies and have similarly reliable baseline BAF based on evaluation of data uncertainties for a final baseline BAF for TL3 where applicable, and final baseline BAF for TL4.
C.
For some pollutants, TL3 and TL4 baseline BAF may be identical when not dependent on trophic level factors, such as lipid partitioning.
Subp. 12.
Final state or site BAF by trophic level.
Calculate final state or site BAF for TL3 where applicable and TL4 for use in developing human health-based chronic criteria or standards.
A.
For nonionic organic chemicals and ionic organic chemicals with no or negligible ionization as defined under subpart 7, for each TL3 and TL4, calculate a state or site BAF using the following equation:
| where: | (final baseline BAFlfd)TL n = final trophic-level-mean baseline BAF expressed on a freely dissolved and lipid-normalized basis for trophic level "n" (L/kg) |
| (fl)TL n = lipid fraction of aquatic species consumed at trophic level "n" by class 2 subclass: class 2A = 0.06; class 2Bd/2B/2C/2D = 0.02 for TL3 and 0.015 for TL4 | |
| ffd = fraction of the total chemical in water that is freely dissolved in ambient waters | |
The default DOC and POC values for the state ambient class 2 surface waters are 7.5 x 10-6 kg/L (7.5 mg/L) and 5 x 10-7 kg/L (0.5 mg/L), respectively. For a site BAF for use in site-specific criteria development, the DOC and POC values are from the site monitoring data, if available; in all other cases, the state defaults are used.
B.
For inorganic and organometallic chemicals and ionic organic chemicals with ionization in natural waters, the baseline BAFtT using total chemical concentrations or bioavailable forms are directly applied as the state or site BAF:
| state BAF(TL n) or site BAF | = | final baseline BAF(TL n) |
Subp. 13.
Algorithms for class 2A or 2Bd surface waters.
This subpart describes human health-based criteria or standards for classes of surface waters designated for drinking water, fish consumption, and recreational use. To develop a final chronic criteria (CCdfr) or standard (CSdfr) applicable to surface waters designated class 2A or 2Bd, items A to D must be evaluated for use based on the pollutant's toxicological profile: noncarcinogen or nonlinear carcinogen (NLC); developmental susceptibility; or linear carcinogen (C).
A.
Algorithm for noncarcinogenic or NLC chemicals applicable to surface waters designated class 2A or 2Bd to calculate: CCdfr or CSdfr=
| RfDchronic (mg/kg-d) x RSC (no units) x 1,000 µg/mg |
| _ |
| {DWIRchronic (L/kg-d) + FCRadult (kg/kg-d)[(0.24 x BAFTL3 (L/kg)) + (0.76 x BAFTL4 (L/kg)]} |
| where: | CCdfr or CSdfr = drinking water plus fish consumption and recreation chronic criterion or standard in µg/L |
| RfDchronic = reference dose for chronic duration in mg/kg-day | |
| RSC = relative source contribution factor | |
| 1,000 µg/mg = a factor used to convert milligram (mg) to microgram (µg); | |
| there are 1,000 micrograms per milligram | |
| DWIRchronic = drinking water intake rate for the chronic duration based on a 95th percentile time-weighted average from MDH; rate may be chemical-specific with sufficient data or use the default rate of 0.043 L/kg-d | |
| FCRadult = fish consumption intake rate of 0.00043 kg/kg-d based on 0.030 kg/day of amount of fish assumed to be consumed per day and 70 kg adult body weight or rate may be chemical-specific with sufficient data | |
| BAFTL3 = final BAF for TL3 fish in L/kg; accounts for 24 percent of fish consumed | |
| BAFTL4 = final BAF for TL4 fish in L/kg; accounts for 76 percent of fish consumed; for class 2A, the BAFTL4 is applied to 100 percent of the FCR |
B.
Supplemental algorithm for developmental susceptibility for noncarcinogenic or NLC chemicals applicable to surface waters designated class 2A or 2Bd to calculate: CCdev or CSdev =
| RfDduration_(acute, short-term, or subchronic) (mg/kg-d) x RSC (no units) x 1,000 µg/mg |
| _ |
| DWIRduration_(acute, short-term, or subchronic) (L/kg-d) |
| where: | CCdev or CSdev = developmental-based drinking water chronic criterion or standard in µg/L applied when shorter duration adverse effects and exposure parameters result in a more stringent chronic criterion or standard than calculated from item A |
| RfDduration = reference dose for acute, short-term, or subchronic duration in mg/kg-day | |
| DWIRduration = drinking water intake rate for acute, short-term, or subchronic duration in L/kg-d; drinking water intake rate for the acute, short-term, and subchronic durations based on a 95th percentile time-weighted average from MDH; rate may be chemical-specific with sufficient data or use default rates of 0.289, 0.289, and 0.077 L/kg-d, respectively | |
| Other variables as defined under item A |
C.
Algorithm for linear carcinogenic chemicals with lifetime adjustment factors (AFlifetime) applicable to surface waters designated class 2A or 2Bd to calculate: CCdfror CSdfr =
| where: | CCdfr or CSdfr = drinking water plus fish consumption and recreation chronic criterion or standard in µg/L |
| CR = cancer risk level or an additional excess cancer risk equal to 1 x 10-5 (1 in 100,000) | |
| CSF = cancer potency slope factor in (mg/kg-d)-1 | |
| AFlifetime = adjustment factor, lifetime (no units) | |
| DWIRlifetime = drinking water intake rate for lifetime duration; drinking water intake rate for the lifetime duration based on a 95th percentile time-weighted average from MDH; rate may be chemical-specific with sufficient data or use default rate of 0.043 L/kg-d | |
| Other variables as defined under item A |
D.
Algorithm for linear carcinogenic chemicals with age-dependent adjustment factors (ADAF) applicable to surface waters designated class 2A or 2Bd to calculate: CCdfr or CSdfr =
| where: | CCdfr or CSdfr = drinking water plus fish consumption and recreation chronic criterion or standard in µg/L |
| ADAF = age-dependent adjustment factor by age groups | |
| D = duration corresponding to the three age groups: birth up to two years of age (two-year duration), two years of age up to 16 years of age (14-year duration), and 16 years of age up to 70 years of age (54-year duration) | |
| DWIR = drinking water intake rate for age groups; drinking water intake rate for the lifetime duration based on a 95th percentile time-weighted average from MDH; rate may be chemical-specific with sufficient data or use default rates for: | |
| DWIR0<2 = 0.137 L/kg-d, birth up to two years of age | |
| DWIR2 to < 16 = 0.047 L/kg-d, two up to 16 years of age | |
| DWIR16 to 70 = 0.039 L/kg-d, 16 up to 70 years of age | |
| FCR = fish consumption intake rate by age groups: | |
| FCR0<2 = 0.00086 kg/kg-d | |
| FCR2 to < 16 = 0.00055 kg/kg-d | |
| FCR16 to 70 = 0.00043 kg/kg-d |
Subp. 14.
Algorithm for class 2B, 2C, or 2D surface waters.
This subpart describes human health-based criteria or standards for classes of surface waters designated for fish consumption and recreational use (nondrinking water use). To develop a final chronic criteria (CCfr) or standard (CSfr) applicable to surface waters designated class 2B, 2C, or 2D, items A to C must be evaluated for use based on the pollutant's toxicological profile: noncarcinogen or nonlinear carcinogen (NLC) or linear carcinogen (C).
A.
Algorithm for noncarcinogenic or NLC chemicals applicable to class 2B, 2C, or 2D surface waters to calculate: CCfr or CSfr =
| RfDchronic (mg/kg-d) x RSC (no units) x 1,000 µg/mg |
| _ |
| {IWRchronic (L/kg-d) + FCRadult (kg/kg-d)[(0.24 x BAFTL3 (L/kg)) + (0.76 x BAFTL4 (L/kg)]} |
| where: | CCfr or CSfr = fish consumption and recreation chronic criterion or standard in µg/L |
| IWRchronic = 0.0013 L/kg-d; assumed incidental water intake rate based on minimum chronic duration | |
| Other variables as defined under subpart 13 |
B.
Algorithm for linear carcinogenic chemicals with lifetime adjustment factors (AFlifetime) applicable to surface waters designated class 2B, 2C, or 2D to calculate: CCfror CSfr =
| where: | CCfr or CSfr = fish consumption and recreation chronic criterion or standard in µg/L |
| Other variables as defined under item A and subpart 13 |
C.
Algorithm for linear carcinogenic chemicals with age-dependent adjustment factors (ADAF) applicable to surface waters designated class 2B, 2C, or 2D to calculate: CCfr or CSfr =
| where: | CCfr or CSfr = fish consumption and recreation chronic criterion or standard in µg/L |
| Other variables as defined under item A and subpart 13 |
Subp. 15.
Algorithms for class 2 fish tissue.
This subpart describes algorithms and fish tissue criteria (CCft) and standards (CSft) for chemical with BAF greater than 1,000 (BCC threshold) applicable to class 2 surface waters. Items A to C must be evaluated for use based on the pollutant's toxicological profile: noncarcinogen or nonlinear carcinogen (NLC) or linear carcinogen (C).
A.
Algorithm for noncarcinogenic or NLC chemicals applicable to class 2 surface waters to calculate: CCft or CSft =
| RfDchronic (mg/kg-d) x RSC (no units) or - RSC (mg/kg-d) |
| _ |
| FCRadult (kg/kg-d) |
| where: | CCft or CSft = fish tissue-based chronic criterion or standard in mg/kg |
| Other variables as defined under subpart 13 |
B.
Algorithm for linear carcinogenic chemicals with lifetime adjustment factors (AFlifetime) applicable to class 2 surface waters to calculate: CCft or CSft =
| CR (1 x 10-5) | 1 | ||
| _ | x | _ | |
| CSF (mg/kg-d)-1 x AFlifetime (no units) | FCRAdult (kg/kg-d) |
| where: | CCft or CSft = fish tissue-based chronic criterion or standard in mg/kg |
| Other variables as defined under subpart 13 |
C.
Algorithm for linear carcinogenic chemicals with age-dependent adjustment factors (ADAFs) applicable to class 2 surface waters to calculate: CCft or CSft =
| where: | CCft or CSft = fish tissue-based chronic criterion or standard in mg/kg |
| Other variables as defined under subpart 13 |
History:
39 SR 1344; 42 SR 441
Published Electronically:
November 20, 2017
Official Publication of the State of Minnesota
Revisor of Statutes